Việc tính diện tích hình thang ABCD là dạng bài toán hình học rất quen thuộc trong chương trình Toán THCS và THPT. Bài viết dưới đây hướng dẫn cách tính diện tích hình thang ABCD một cách chi tiết dễ hiểu, kèm công thức, ví dụ minh họa và bài tập có lời giải để bạn nắm vững kiến thức.
Công thức tính diện tích hình thang ABCD
Hình thang ABCD là tứ giác có hai cạnh đáy song song (thường ký hiệu đáy lớn là a, đáy nhỏ là b). Khoảng cách vuông góc giữa hai đáy được gọi là chiều cao (h).
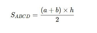
Công thức chung tính diện tích hình thang ABCD:

Trong đó:
a: độ dài đáy lớn
b: độ dài đáy nhỏ
h: chiều cao của hình thang
Đây là công thức chuẩn, được áp dụng cho mọi dạng hình thang.
Cách tính diện tích hình thang ABCD trong từng trường hợp
Dưới đây là các trường hợp thường gặp nhất khi giải bài toán tính diện tích hình thang ABCD.
Khi biết hai đáy và chiều cao
Đây là dạng bài cơ bản và dễ nhất.
Công thức: S = (a +b)h/2
Ví dụ:
Hình thang ABCD có đáy lớn 14 cm, đáy nhỏ 8 cm, chiều cao 6 cm.
S = (14 + 8)x 6 / 2 = 66 cm2
Khi không biết chiều cao
Muốn tính diện tích, ta cần tìm chiều cao bằng một trong các cách sau:
Dùng cạnh góc vuông (hình thang vuông)
Chiều cao chính là cạnh vuông góc với hai đáy.
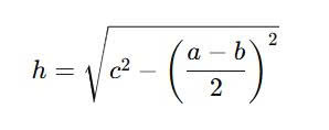
Dùng cạnh bên và công thức Pythagoras (hình thang cân)
Khi hình thang ABCD cân, hai cạnh bên bằng nhau và có thể suy ra chiều cao:

Trong đó c là cạnh bên.
Khi biết diện tích và hai đáy → Tính ngược chiều cao

Tính diện tích hình thang vuông ABCD
Hình thang vuông là hình thang có một cạnh bên vuông góc với hai đáy → đó chính là chiều cao.
Công thức diện tích: S = (a +b)h/2
Hình thang vuông ABCD có đáy lớn 10 cm, đáy nhỏ 6 cm, cạnh bên vuông góc dài 4 cm.
S = (10 +6)x 4 /2 = 32 cm2
Tính diện tích hình thang cân ABCD
Hình thang cân có hai cạnh bên bằng nhau, do đó ta tính chiều cao bằng cách dựng đường cao và dùng định lý Pythagoras.

Ví dụ:
Hình thang cân ABCD có: Đáy lớn a = 20 cm, Đáy nhỏ b = 12 cm, Cạnh bên c = 10 cm
h = √100 - 42 = √84 ≈ 9,17 cm
S ≈ 32 x 9,17 / 2 =146,72 cm2
Xem thêm: Dịch vụ gia sư Toán lớp 8 Uy Tín
Bài tập minh họa tính diện tích hình thang ABCD có lời giải
Dưới đây là các bài tập tiêu biểu giúp bạn nắm vững cách tính diện tích hình thang ABCD.
Bài 1:
Hình thang ABCD có đáy lớn 18 cm, đáy nhỏ 10 cm và chiều cao 7 cm. Tính diện tích.
Lời giải:
S = (18 +10)x 7 /2 = 98 cm2
Bài 2:
Hình thang cân ABCD có đáy lớn 14 cm, đáy nhỏ 6 cm, cạnh bên 10 cm. Tính diện tích.
h = √100 - 42 = √84 ≈ 9,17 cm
S = (14+6 x 9,17 / 2 ≈91,7 cm2
Bài 3:
Hình thang vuông ABCD có đáy lớn 15 cm, đáy nhỏ 9 cm và cạnh bên vuông góc dài 5 cm. Tính diện tích.
Lời giải:
S = 24 x 5/2 = 60 cm2
Tính diện tích hình thang ABCD sẽ trở nên đơn giản hơn rất nhiều khi bạn nắm vững công thức cơ bản và hiểu rõ từng dạng bài thường gặp như hình thang vuông, hình thang cân hay khi không biết chiều cao. Chỉ cần xác định đúng dữ kiện và áp dụng phương pháp phù hợp, bạn hoàn toàn có thể giải nhanh và chính xác mọi bài toán về hình thang. Hy vọng bài viết đã giúp bạn hệ thống kiến thức một cách dễ hiểu, đầy đủ và có thể áp dụng ngay vào thực hành. Nếu bạn cần thêm bài viết hướng dẫn về các dạng diện tích hình học khác, hãy tiếp tục theo dõi Trung tâm gia sư The TutorX để cập nhật nhiều nội dung hữu ích hơn!
